Todd's Evil Limit - A Solution
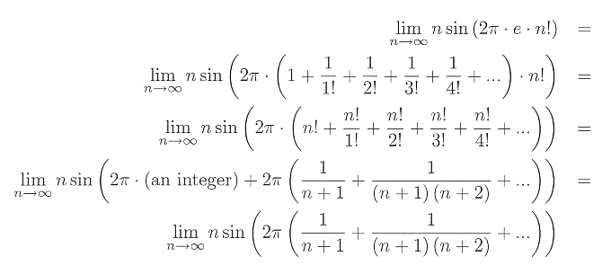
We start by replacing e by its Taylor Series:

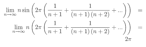
Now a simple, but non-rigorous way to go is to observe that when x is very small, sin(x) is approximately equal to x. If you allow me to use that approximation we obtain:

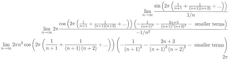
If that makes you uncomfortable, we can use the more honest, more cumbersome method of L'Hopital's rule:

Comment on this page
Go to Doug Shaw's Professorial page